Suculentos platos integrales
para cada momento del día #3
El menú del día #3 es logarítmico.
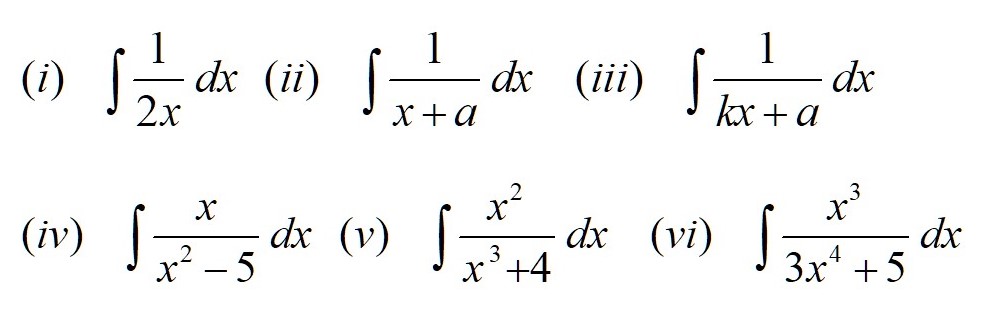
En el desayuno tomaremos unas integrales racionales con polinomios lineales en el denominador.
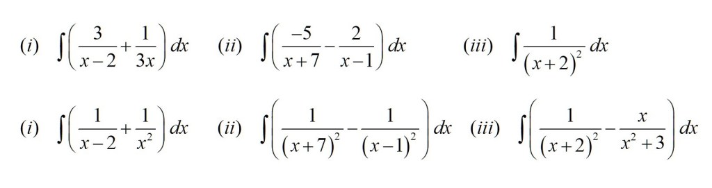
Para almorzar un cocido de fracciones racionales con carnaza logarítmica mezclada con aromas de campo.
Y para la cena un plato muy especial: el reloj de arena que no debe faltar en ninguna cocina.

Petit-dejéuner #3
Primitivas de una función de tipo logarítmico.


Dejéuner #3
Cocido maragato de logaritmos y racionales con factores constantes


Dîner #3
El reloj de arena: ¿Qué área tiene la sección del reloj de arena de la figura?


Te pueden ayudar las gráficas representadas que corresponden a una función y su opuesta: f(x) y –f(x)

Para la digestión, las soluciones
Petit- dejéuner #3: solución
Dejéuner #3: solución
Dîner #3: solución

Mamita mía cómo te haces querer, jaja. Esas suculencias me han puesto el vello como piel de ave. No sé si tirarme al metro o a la taquillera, jaja. Anda, a los de letras ponnos deberes más digeribles. De todas maneras, eres un puto crack, el amo de la trigonometría. Me encantaría saber para poderte leer y entender, de verdad. Debe molar mucho ser alumno tuyo. Un abrazote! Federico
De: Maths Trainning Center 4All Responder a: Maths Trainning Center 4All Fecha: jueves, 20 de mayo de 2021, 19:05 Para: Federico Herrero Asunto: [Nueva entrada] menú integral: Día #3
WordPress.com Math+massium Team publicó:» Suculentos platos de integrales servidos para cada momento del día #3 El menú del día #3 es logarítmico. En el desayuno tomaremos unas integrales racionales con polinomios lineales en el denominador. Para almorzar un cocido de fracciones raciona» Responder a esta entrada realizando el comentario sobre esta línea Entrada nueva en Maths Trainning Center 4All menú integral: Día #3 por Math+massium Team Suculentos platos de integrales servidos para cada momento del día #3
El menú del día #3 es logarítmico.
En el desayuno tomaremos unas integrales racionales con polinomios lineales en el denominador.
Para almorzar un cocido de fracciones racionales con carnaza logarítmica mezclada con aromas de campo.
Y para la cena un plato muy especial: el reloj de arena que no debe faltar en ninguna cocina.
Petit-dejéuner #3 Primitivas de una función de tipo logarítmico.
Dejéuner #3 Cocido maragato de logaritmos y racionales con factores constantes
Dîner #2 El reloj de arena
¿Qué área tiene la sección del reloj de arena de la figura? Te pueden ayudar las gráficas representadas que corresponden a una función y su opuesta: f(x) y -f(x)
Para la digestión, las soluciones
Petit- dejéuner #3: solución
Dejéuner #3: solución
Dîner #3: solución
Math+massium Team | 20 mayo, 2021 a las 7:04 pm | Etiquetas: áreas, exponencial, integral, menu_integral_3 | Categorías: Cocina Infinitesimal (curso), integral, MathFood, Menu diario Integral, Sin categoría | URL: https://wp.me/paAbNj-MZ
Me gustaMe gusta