Suculentos platos integrales
para cada momento del día #5
El menú del día #5 combina la cocina rápida de recetas sencillas para el desayuno, con algunas de las grandes ideas integrales que no puedes dejar de probar.
En el desayuno una digestiva decostrucción de funciones racionales algebraicas en fracciones simples.
Para almorzar una función integral de polinomios con ceros en el intervalo, una curiosidad para el paladar.
Como cena, un inocente primitiva exponencial que nos hará recordar raros aromas.
MathFOOD por Mathmassium cook

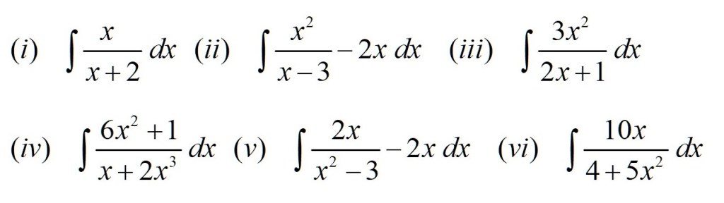
Petit-dejéuner #5
Funciones racionales deconstruidas por grados de sus denominadores.


Dejéuner #5
¿Puede ser una integral definida cero? ¿Puede ser el valor de un área nulo?
Es decir ¿una integral definida siempre proporciona el valor del área de una región?


Dîner #5
¿Puede ser que la parte sea mayor que el todo?.
En las siguientes propuesta, observa los intervalos de integración. determina cual es mayor y cual es menor, y luego compara los valores de la integral definida calculada sobre cada uno de los intervalos.
¿Puedes concluir algo anómalo? ¿Puedes explicarlo?

Para la digestión, las soluciones
Petit- dejéuner #5: solución
Dejéuner #5: solución
Dîner #5: solución
